4  ML Data Pipelines

This module aims to introduce the complete workflow of modern machine learning data pipelines, emphasizing four key stages in nearly all ML systems: data handling, model selection and optimization, evaluation, and deployment. Mastering these components enables effective design, training, and deployment of models across various applications.

Objectives

  1. Prepare and transform data by scaling, encoding, handling missing values, detecting leakage, and managing imbalances.
  2. Select and optimize machine learning models, tune hyperparameters, regularize them, and use AIC/BIC for comparison.
  3. Evaluate model performance with metrics, validation techniques, and error analysis for generalization.
  4. Deploy and maintain ML models in production, focusing on versioning, serving, drift detection, and continuous improvement.

Reading materials

4.1 Data Handling

The data handling stage converts raw, unstructured data into suitable inputs for machine learning. This involves preprocessing, statistical analysis, and decisions on missing values, feature rescaling, and training splits. The following subsections cover the main components.

4.1.1 Feature Engineering

Feature engineering creates meaningful predictors from raw data using mathematical transformations, categorical encodings, discretization, and text vectorization. Feature engineering (scaling, one-hot encoding, bucketing, transformations)

4.1.2 Normalization / Standardization

4.1.3 Dimensionality Reduction

4.1.4 Missing Data Imputation

4.1.5 Data Leakage

4.1.6 Sampling Strategies

4.1.7 Train/Validation/Test Split

After removing or modeling a trend and strong seasonality in a time series, we need to take care of the stationary remainder, which may be autocorrelated or conditionally heteroskedastic. Here we introduce a broad class of ARMA models that deal with autocorrelation in time series.

Recall that a time series is (weakly) stationary if its mean and autocovariance do not depend on time, \(t\); autocovariance depends only on the lag \(h\). We will use these two conditions to show that the time series processes that we will model as AR, MA, or ARMA are stationary. Remember that the presence of autocorrelation does not mean that there is a trend.

We start by checking the two conditions for other typical univariate processes: white noise and random walk.

Code
# Set seed for reproducible random number generation
set.seed(123) 
T <- 300L
Lag <- 0:15

Most of the examples in this lecture are simulated to show how sample autocorrelations may differ from theoretical ones, even if the simulated time series are sampled from a process of a certain type. All simulated series are of length 300.

Example: Check the stationarity of white noise

Let \(X_t\) be a white noise series, \(X_t \sim \mathrm{WN}(0, \sigma^2)\). Show that \(X_t\) is weakly stationary.

\(\mathrm{E}(X_t) = 0\) for all \(t\) \(\Rightarrow\) \(\mathrm{E}(X_t)\) is independent of \(t\).

Now check the autocovariance \[ \begin{align} \mathrm{cov}(X_t, X_{t+h}) &= \begin{cases} \mathrm{cov}(X_t, X_t) & \text{if } h = 0\\ 0 & \text{otherwise} \end{cases} \\ & = \begin{cases} \mathrm{var}(X_t) & \text{if } h = 0\\ 0 & \text{otherwise} \end{cases} \\ & = \begin{cases} \sigma^2 & \text{if } h = 0\\ 0 & \text{otherwise} \end{cases} \end{align} \]

\(\Rightarrow\) \(\mathrm{cov}(X_t, X_{t+h})\) does not depend on \(t\), depends only on \(h\).

Both conditions of weak stationarity are satisfied, \(X_t\) is weakly stationary.

See Figure 4.1 with plots for \(X_t \sim \mathrm{WN}(0, \sigma^2)\), where \(\sigma = 2\). More specifically, \[ X_t \sim \text{i.i.d.}\; N(0, \sigma^2);\; \sigma = 2. \tag{4.1}\]

Code
# Theoretical ACF, PACF
RHO <- c(1, rep(0, max(Lag)))

# Sample data
X <- ts(rnorm(T, sd = 2))

# Plots
p1 <- ggplot(data.frame(Lag, ACF = RHO), aes(x = Lag, y = ACF)) +
    geom_bar(stat = "identity") +
    ggtitle("Theoretical ACF")
p2 <- ggplot(data.frame(Lag, PACF = RHO), aes(x = Lag, y = PACF)) +
    geom_bar(stat = "identity") +
    ggtitle("Theoretical PACF")
p3 <- forecast::autoplot(X) + 
    ggtitle("Sample time series")
p4 <- forecast::ggAcf(X) + 
    ggtitle("Sample ACF")
p5 <- forecast::ggAcf(X, type = "partial") + 
    ggtitle("Sample PACF")
(plot_spacer() + p1 + p2) / (p3 + p4 + p5) +
    plot_annotation(tag_levels = 'A')
Figure 4.1: White noise as specified in Equation 4.1.
Note

Remember that ACF(0) = PACF(0) = 1 always. Some R plotting functions show results for the zero lag (e.g., acf()), some do not (e.g., pacf() and the function forecast::ggAcf() used here).

Example: Check the stationarity of random walk

Check the stationarity of the random walk \(S_t\). \(S_t = \sum_{i=1}^t{X_t}\), where \(X_t \sim \text{i.i.d.}(0,\sigma^2)\), and \(S_0 = 0\).

\(\mathrm{E}(S_t) = \mathrm{E}(\sum_{i=1}^t{X_t}) = 0\) \(\Rightarrow\) \(\mathrm{E}(X_t)\) does not depend on \(t\).

Now check the autocovariance \[ \begin{split} \mathrm{cov}(S_t, S_{t+h}) &= \mathrm{cov}(S_t, S_t + X_{t+1}+\dots + X_{t+h})\\ & = \mathrm{cov}(S_t, S_t) + \mathrm{cov}(S_t, X_{t+1}+\dots + X_{t+h})\\ & = \mathrm{var}(S_t) + 0\\ & = \mathrm{var}\left(\sum_{i=1}^t{X_t}\right) \\ & = \sum_{i=1}^t\mathrm{var}(X_t)\\ & = t\sigma^2 \end{split} \]

Autocovariance of \(S_t\) depends on time, \(S_t\) is not stationary. Also, notice that \(S_t = S_{t-1} + X_t\), that is, \(S_t\) is a nonstationary AR(1) process with \(\phi_1 = 1\).

Random walk patterns are widely found in nature, for example, in the phenomenon of Brownian motion. Notice the slow linear decay in the ACF of nonstationary time series (Figure 4.2) \[ S_t = \sum_{i = 1}^t X_i, \tag{4.2}\] where \(X_t \sim \mathrm{i.i.d.}(0, \sigma^2)\) and \(\sigma = 2\).

Code
# Sample data
RW0 <- ts(cumsum(X))

# Plots
p3 <- forecast::autoplot(RW0) + 
    ggtitle("Sample time series")
p4 <- forecast::ggAcf(RW0) + 
    ggtitle("Sample ACF")
p5 <- forecast::ggAcf(RW0, type = "partial") + 
    ggtitle("Sample PACF")
p3 + p4 + p5 +
    plot_annotation(tag_levels = 'A')
Figure 4.2: Zero-mean random walk as specified in Equation 4.2.

Random walk may look very different if the i.i.d. process has a non-zero mean. Here is a random walk with drift (Figure 4.3): \[ S_t = \sum_{i = 1}^t X_i, \tag{4.3}\] where \(X_t \sim \mathrm{i.i.d.}(a, \sigma^2)\), \(a = 0.2\), and \(\sigma = 2\).

Code
# Sample data
RW2 <- ts(cumsum(X + 0.2))

# Plots
p3 <- forecast::autoplot(RW2) + 
    ggtitle("Sample time series")
p4 <- forecast::ggAcf(RW2) + 
    ggtitle("Sample ACF")
p5 <- forecast::ggAcf(RW2, type = "partial") + 
    ggtitle("Sample PACF")
p3 + p4 + p5 +
    plot_annotation(tag_levels = 'A')
Figure 4.3: Random walk with drift as specified in Equation 4.3.

4.2 Autoregressive (AR) models

AR(1) model

We are already familiar with an AR(1) model \[ Y_{t} = \phi_{1} Y_{t -1} + \epsilon_{t}, \] where

  • \(\epsilon_{t}\) is white noise (\(\mathrm{E}(\epsilon_{t}) = 0\) and \(\mathrm{E}(\epsilon_{t}^2) = \sigma^{2}_{\epsilon}\)),
  • \(\epsilon_{t}\) is independent of \(Y_{t - k}, \dots, Y_{t - 1}\),
  • \(\phi_{1}\) is the coefficient of autoregression.

The AR(1) model can be rewritten as \[ (1 - \phi_{1} B) Y_{t} = \epsilon_{t}, \] or in even more compact notation as \[ \phi(B)Y_t = \epsilon_t, \] where \(\phi(\lambda)\) is the polynomial \(\phi (\lambda) = 1 - \phi_{1} \lambda\).

Let us find the variance of \(Y_{t}\) \[ \begin{split} \mathrm{var} (Y_{t} ) = \mathrm{E} ( \phi_{1} Y_{t - 1} + \epsilon_{t})^{2} & = \mathrm{E} ( \phi^{2}_{1} Y^{2}_{t - 1} + 2 \phi_{1} Y_{t-1} \epsilon_{t} + \epsilon^{2}_{ t}) \\ \\ & = \phi^{2}_{1} \mathrm{E}(Y^{2}_{t - 1}) + 2\phi_{1} \mathrm{E} (Y_{t - 1} \epsilon_{t}) + \mathrm{E}(\epsilon^{2}_{t}) \\ \\ & = \phi^{2}_{1} \mathrm{var} \left( Y_{t -1} \right) + 0 + \sigma^{2}_{\epsilon} \\ \\ & = \phi^{2}_{1} \mathrm{var} \left( Y_{t -1} \right) + \sigma^{2}_{\epsilon}. \end{split} \]

Hence, if \(\phi_{1} \neq \pm 1\), then \[ \sigma^{2}_{Y} = \frac{\sigma^{2}_{\epsilon}} {1 - \phi^{2}_{1}}. \tag{4.4}\]

Note

For Equation 4.4 to make sense, we require \(|\phi_{1}| < 1\). This is the condition under which AR(1) process is (weakly) stationary. E.g., if \(\phi_{1} = \pm 1\) then the process is a random walk and is also not stationary. We shall see later that all AR processes require some condition of this nature.

Example: Check the stationarity of AR(1)

Check that the AR(1) process \(Y_t\) is stationary, given that \(Y_t = \phi Y_{t-1} + \epsilon_t\), \(|\phi| < 1\), and \(\epsilon_t \sim \mathrm{WN}(0, \sigma^2)\).

\[ \begin{split} \mathrm{E}(Y_t) &= \mathrm{E}(\phi Y_{t-1} + \epsilon_t)\\ & = \phi \mathrm{E}(Y_{t-1}) + \mathrm{E}(\epsilon_t)\\ & = \phi^2 \mathrm{E}(Y_{t-2}) + 0\\ & = \phi^3 \mathrm{E}(Y_{t-3})\\ & = \dots\\ & = \phi^N \mathrm{E}(Y_{t-N})\\ \lim_{N \rightarrow \infty} \mathrm{E}(Y_t) &= \lim_{N \rightarrow \infty} \phi^N \mathrm{E}(Y_{t-N}) = 0 \end{split} \] Therefore, the mean of \(Y_t\) does not depend on time.

Now check the autocovariance. For \(h=0\), \(\mathrm{cov}(Y_t, Y_{t}) = \mathrm{var}(Y_t) = \sigma^2_Y\), which is derived in Equation 4.4 and does not depend on time.

For \(h \neq 0\), \[ \begin{split} \mathrm{cov}(Y_t, Y_{t-h}) &= \mathrm{cov}(\phi Y_{t-1} + \epsilon_t, Y_{t-h})\\ & = \mathrm{cov}(\phi Y_{t-1}, Y_{t-h}) + \mathrm{cov}(\epsilon_t, Y_{t-h})\\ & = \phi \mathrm{cov}(Y_{t-1}, Y_{t-h}) + 0\\ & = \phi \mathrm{cov}(\phi Y_{t-2} + \epsilon_{t-1}, Y_{t-h})\\ & = \phi^2 \gamma_Y(h-2)\\ & = \dots\\ & = \phi^h \gamma_Y(0) \\ & = \phi^h \sigma_Y^2, \end{split} \] thus the autocovariance does not depend on time, depends only on lag \(h\).

Both conditions for weak stationarity are satisfied, the \(Y_t\) specified above is weakly stationary.

Note

Additionally, see that the ACF of the AR(1) process \[ \rho_Y(h) = \frac{\gamma_Y(h)}{\gamma_Y(0)} = \frac{\phi^h \gamma_Y(0)}{\gamma_Y(0)} = \phi^h \tag{4.5}\] shows exponential decay. Remember this about AR processes.

AR(\(p\)) model

Now we can extend our AR(1) model to \[ \begin{split} Y_{t} &= \phi_{1} Y_{t - 1} + \phi_{2} Y_{t - 2} + \dots + \phi_{p} Y_{t - p} + \epsilon_{t} \\ &=\sum_{i=1}^p\phi_iY_{t-i} + \epsilon_t \end{split} \tag{4.6}\] with \(\epsilon_{t}\) independent of \(Y_{t - k}, \dots , Y_{t - 1}\); \(p \in \mathbb{N}^{+}\). This model is called an autoregressive model of order \(p\), or simply an AR(\(p\)) model.

Similarly to AR(1), every AR(\(p\)) model may be rewritten as \[ \left(1 - \sum^{p}_{i = 1} \phi_{i} B^{i} \right) Y_{t} = \epsilon_{t}, \] or in more compact notation as \[ \phi (B) Y_t = \epsilon_t, \] where \(\phi(\lambda)\) is the polynomial \(\phi(\lambda) = 1 - \phi_{1} \lambda - \phi_{2} \lambda^{2} - \dots - \phi_{p} \lambda^{p}\).

The stationarity condition for AR(\(p\)) model is defined through the polynomial \(\phi(\lambda)\). Specifically, all the roots of the function \(\phi(\lambda)\) lie outside the unit circle in the complex plane.

ACF of AR processes

To compute ACVF and ACF for the AR(\(p\)) model, multiplying both sides of Equation 4.6 by \(Y_{t - k}\) for \(k \geqslant p\) and taking expectations yields \[ \begin{split} \mathrm{E} \left( Y_{t} Y_{t - k} \right) & = \mathrm{E} \left( \phi_{1} Y_{t-1} Y_{t-k} + \phi_{2} Y_{t-2} Y_{t-k} + \dots + \phi_{p} Y_{t -p} Y_{t - k} + \epsilon_{t} Y_{t -k} \right) \\ & = \phi_{1} \mathrm{E} \left( Y_{t - 1} Y_{t - k} \right) + \phi_{2} \mathrm{E} \left( Y_{t - 2} Y_{t - k} \right) + \dots+ \phi_{p} \mathrm{E} \left(Y_{t - p} Y_{t - k} \right) + \mathrm{E} \left( \epsilon_{t} Y_{t - k} \right). \end{split} \]

Thus, we get autocovariances \[ \gamma(k) = \phi_{1}\gamma(k -1) + \phi_{2}\gamma(k - 2) + \dots + \phi_{p} \gamma(k - p), \] which turns into a mixed exponential decay of order \(p\) for the ACF \[ \rho(k) = \phi_{1} \rho(k - 1) + \phi_{2} \rho(k - 2) + \dots + \phi_{p} \rho(k - p). \]

To identify the decay, we need the \(p\) starting correlations \(\rho(1), \rho(2), \dots, \rho(p)\), which we can find from the parameters \(\phi_{1}, \phi_{2}, \dots, \phi_{p}\).

PACF of AR processes

An AR(\(p\)) model implies \(Y_{t+h} = \sum_{i=1}^p\phi_{i} Y_{t + h - i} + \epsilon_{t+h}\), where the roots of \(\phi(\lambda)\) are outside the unit circle. When \(h > p\), the regression of \(Y_{t+h}\) on \(\{ Y_{t+1},\dots, Y_{t+h-1}\}\) is \[ \hat{Y}_{t+h} = \sum^p_{i=1} \phi_i Y_{t+h-i}. \] Thus, when \(h > p\), \[ \begin{align} \rho_{hh} &= \mathrm{cor}(Y_{t+h}-\hat{Y}_{t+h}, Y_t - \hat{Y}_t) \\ & = \mathrm{cor}(\epsilon_{t+h}, Y_t - \hat{Y}_t) \\ & = 0, \end{align} \] because, by the causality of the process, the difference \(Y_t - \hat{Y}_t\) depends only on \(\{ \epsilon_{t+h-1}, \epsilon_{t+h-2},\dots \}\).

When \(h\leqslant p\), \(\rho_{hh}\) is not zero, and \(\rho_{11}, \dots, \rho_{p-1,p-1}\) are not necessarily zero.

Note

The important conclusion is that the PACF of an AR(\(p\)) process necessarily cuts off (PACF = 0) after lag \(p\).

Example: PACF of AR(1) process

For an AR(1) process, the best linear predictor \(P(X_{n + 1} | X_n) = \phi X_n\).

For \(h = 0\), \(\rho_{00} = 1\).
For \(h = 1\), \(\rho_{11} = \mathrm{cor}(X_t, X_{t+1}) = \phi\) (no intermediate lags, see Equation 4.5).
For \(h = 2\), note that \(X_{t+2} = \phi X_{t+1} + \epsilon_{t+2}\), then \[ \begin{align} \rho_{22} &= \mathrm{cor}(X_t - P(X_t | X_{t+1}), X_{t+2} - P(X_{t+2} | X_{t+1})) \\ &= \mathrm{cor}(X_t - P(X_t | X_{t+1}), X_{t+2} - \phi X_{t+1})\\ &= \mathrm{cor}(X_t - P(X_t | X_{t+1}), \epsilon_{t+2})\\ &= 0 \end{align} \] because the term \(X_t - P(X_t | X_{t+1})\) is a function of \(X_t\) and \(X_{t+1}\) only, while \(\epsilon_{t+2}\) is the future noise.

Thus, for \(X_t \sim\) AR(1), the PACF \[ \rho_{hh} = \begin{cases} 1 & \text{if } h = 0\\ \phi & \text{if } h = 1\\ 0 & \text{if } h \geqslant 2 \end{cases} \]

See the plots for the following AR(1) process in Figure 4.4: \[ X_t = \phi_1 X_{t-1} + \epsilon_t, \tag{4.7}\] where \(\epsilon_t \sim N(0,\sigma^2)\), \(\phi_1=0.6\), and \(\sigma = 1\).

Code
# Theoretical ACF, PACF
phi <- 0.6
RHO <- phi^Lag
ALPHA <- c(1, phi, rep(0, max(Lag) - 1))

# Sample data
X <- arima.sim(list(order = c(1, 0, 0), ar = phi), n = T)

# Plots
p1 <- ggplot(data.frame(Lag, ACF = RHO), aes(x = Lag, y = ACF)) +
    geom_bar(stat = "identity") +
    ggtitle("Theoretical ACF")
p2 <- ggplot(data.frame(Lag, PACF = ALPHA), aes(x = Lag, y = PACF)) +
    geom_bar(stat = "identity") +
    ggtitle("Theoretical PACF")
p3 <- forecast::autoplot(X) + 
    ggtitle("Sample time series")
p4 <- forecast::ggAcf(X) + 
    ggtitle("Sample ACF")
p5 <- forecast::ggAcf(X, type = "partial") + 
    ggtitle("Sample PACF")
(plot_spacer() + p1 + p2) / (p3 + p4 + p5) +
    plot_annotation(tag_levels = 'A')
Figure 4.4: AR(1) process as specified in Equation 4.7.

See the plots for the following AR(1) process in Figure 4.5 (only the coefficient \(\phi_1\) changed from the previous specification): \[ X_t = \phi_1 X_{t-1} + \epsilon_t;\; \epsilon_t \sim N(0,\sigma^2);\; \phi_1=-0.6,\; \sigma = 1. \tag{4.8}\]

Code
# Theoretical ACF, PACF
phi <- -0.6
RHO <- phi^Lag
ALPHA <- c(1, phi, rep(0, max(Lag) - 1))

# Sample data
X <- arima.sim(list(order = c(1, 0, 0), ar = phi), n = T)

# Plots
p1 <- ggplot(data.frame(Lag, ACF = RHO), aes(x = Lag, y = ACF)) +
    geom_bar(stat = "identity") +
    ggtitle("Theoretical ACF")
p2 <- ggplot(data.frame(Lag, PACF = ALPHA), aes(x = Lag, y = PACF)) +
    geom_bar(stat = "identity") +
    ggtitle("Theoretical PACF")
p3 <- forecast::autoplot(X) + 
    ggtitle("Sample time series")
p4 <- forecast::ggAcf(X) + 
    ggtitle("Sample ACF")
p5 <- forecast::ggAcf(X, type = "partial") + 
    ggtitle("Sample PACF")
(plot_spacer() + p1 + p2) / (p3 + p4 + p5) +
    plot_annotation(tag_levels = 'A')
Figure 4.5: AR(1) process as specified in Equation 4.8.

ACF of the AR(1) model takes two graphical forms depending on whether the coefficient \(\phi_{1}\) is positive or negative. In the first case, the decay occurs through the positive axis only (Figure 4.4). In the second case, the decay alternates between the negative and positive axes (Figure 4.5). This is so-called mixed exponential decay. Although both forms are examples of exponential decay, they appear different visually.

As the order \(p\) of an AR(\(p\)) model increases, the number of different visual presentations of the ACF increases as well. The ACF of an AR(\(p\)) model can take \(2^{p}\) different graphical forms, depending on the signs (positive or negative) of the parameters \(\phi_{1}, \phi_{2}, \dots, \phi_{p}\). Thus, the ACF of an AR(2) model can take \(2^{2} = 4\) different graphical forms.

4.3 The Yule–Wold representation and linear processes

A process \(X_{t}\), (\(t = 0, \pm 1, \pm 2, \dots\)) is said to be linear if it has a representation of the form \[ X_{t} = \mu + \sum^{\infty}_{r = - \infty} c_{r} \epsilon_{t - r}, \] where \(\mu\) is a common mean, \(c_{r}\) is a sequence of fixed constants, and \(\epsilon_{t}\) are uncorrelated random variables with mean 0 and common variance.

We assume \(\sum c^{2}_{r} < \infty\) to ensure that the variances of the individual \(X_{t}\) are finite (stationarity and existence condition). Then the process \(X_{t}\) is necessarily (weakly) stationary.

If we also require that \(\epsilon_{t}\) are identically distributed, then \(X_{t}\) is strictly stationary. For example, see the case of normally distributed \(\epsilon_{t}\).

If \(c_r = 0\) for all \(r < 0\), \(X_t\) is called causal (i.e., the process at the time \(t\) does not depend on the future, yet unobserved, values of \(\epsilon_{t}\)).

The representation of a causal stationary process (depending only on the past) \(X_{t}\) with zero mean in the form \[ X_{t} = \sum^{\infty}_{r = 0} c_{r} \epsilon_{t - r}, \tag{4.9}\] where \(\epsilon_{t} \sim \mathrm{WN}(0, \sigma^{2}\)) and \(\sum c^{2}_{r} < \infty\), is sometimes called the Yule–Wald representation.

4.4 Moving average (MA) models

MA(1) model

A zero mean stationary process \(Y_{t}\) is called a moving average process of order 1, or an MA(1) model, if \(Y_{t}\) satisfies \[ Y_{t} = \epsilon_{t} + \theta_{1} \epsilon_{t - 1}, \] where \(\epsilon_{t}\) is white noise.

In other words, an MA(1) process has \(c_{r} = 0\) for every \(r > 1\) in its Yule–Wold representation Equation 4.9.

The MA(1) model may be rewritten as \[ Y_{t} = (1 + \theta_{1} B) \epsilon_{t}, \] or in the compact form \[ Y_t = \theta (B) \epsilon_t, \] where \(\theta (\lambda)\) is the polynomial \(\theta(\lambda) = 1 + \theta_{1} \lambda\).

MA(q) model

We can extend MA(1) model further and consider \[ \begin{split} Y_{t} &= \epsilon_{t} + \theta_{1} \epsilon_{t -1} + \theta_{2} \epsilon_{t - 2} + \dots + \theta_{q} \epsilon_{t - q} \\ &= \epsilon_{t} + \sum_{i=1}^q \theta_i \epsilon_{t-i}. \end{split} \] This model is called a moving average model of order \(q\), or a MA(\(q\)).

We can write down MA(\(q\)) as \[ Y_{t} = \left(1 + \theta_{1} B + \theta_{2} B^{2} + \dots + \theta_{q} B^{q} \right) \epsilon_{t} , \] or in the compact form \[ Y_t = \theta (B) \epsilon_t, \] where \(\theta(\lambda)\) is the polynomial \(\theta(\lambda) = 1 + \theta_{1} \lambda + \theta_{2} \lambda^{2} + \dots + \theta_{q} \lambda^{q}\).

Now compute the ACVF and ACF of the MA(\(q\)) process \(Y_{t}\). Using the Yule–Wald representation of \(Y_{t}\), \[ Y_{t} = \sum^{q}_{r = 0} \theta_{r} \epsilon_{t - r}, \] the autocovariance \[ \begin{split} \gamma_Y(h) & = \mathrm{cov}(Y_{t}, Y_{t+h}) = \mathrm{cov} \left( \sum^{q}_{r = 0} \theta_{r }\epsilon_{t - r}, \sum^{q}_{\ell = 0} \theta_{\ell} \epsilon_{t + h - \ell} \right) \\ \\ & = \sum^{q}_{r = 0} \sum^{q}_{\ell = 0} \mathrm{cov} \left( \theta_{r } \epsilon_{t - r}, \theta_{\ell} \epsilon_{t + h - \ell} \right) \\ \\ & = \sum^{q}_{r = 0} \sum^{q}_{\ell = 0} \theta_{r } \theta_{\ell} \mathrm{cov} \left( \epsilon_{t - r}, \epsilon_{t - r} \right) ~~ \text{since cov} \left( \epsilon_{u}, \epsilon_{v} \right) = 0 ~ \text{unless} ~ u = v \\ \\ & = \sigma_{\epsilon}^{2} \sum^{q}_{r = 0} \theta_{r} \theta_{r+h}. \end{split} \] Note that the case of no time shift between the noise series, i.e., when \(t-r = t+h-l\), leads to \(l=r+h\), which is used in the last row.

Hence, \[ \gamma_Y(h) = \left\{ \begin{array}{lcl} \sigma_{\epsilon}^{2} \sum^{q - h}_{r = 0} \theta_{r} \theta_{r+h} & \text{for} & h \leqslant q;\\ 0 & \text{for} & h > q. \end{array} \right. \tag{4.10}\]

This leads us to the most important result about the correlation structure for MA(\(q\)) processes. For an MA(\(q\)) process, \(\gamma(h) = 0\) for all \(h > q\). Equivalently, the ACF has \(q\) ‘starting’ correlations or spikes, \(\rho(1), \rho(2), \dots, \rho(q)\), and then \(\rho(h) = 0\) for \(h > q\). We say that the ACF ‘cuts off’ after the lag \(q\).

Now compute the actual values of the starting correlations \(\rho(1), \dots, \rho(q)\) in terms of the parameters \(\theta_{0} = 1, \theta_{1}, \theta_{2}, \dots, \theta_{q}\). Using Equation 4.10, we get

  • For the MA(1) model \(q = 1\). Hence \[ \begin{split} h = 0 &\rightarrow \gamma(0) = \sigma^{2} \sum^{1}_{ r=0} \theta^{2}_{r} = \sigma^{2} \left( \theta^{2}_{0} + \theta^{2}_{1} \right) = \sigma^{2} \left(1 + \theta^{2}_{1}\right). \\ \\ h = 1 &\rightarrow \gamma(1) = \sigma^{2} \sum^{0}_{ r=0} \theta_{r} \theta_{r + 1} = \sigma^{2} \theta_{0} \theta_{1} = \sigma^{2} \theta_{1}. \end{split} \]

    Therefore \(\rho(1) = \gamma(1) / \gamma(0) = \theta_{1} / (1 + \theta^{2}_{1})\).

  • For the MA(2) model \(q = 2\). Hence \[ \begin{split} h = 0 &\rightarrow \gamma(0) = \sigma^{2} \sum^{2}_{r=0} \theta^{2}_{r} = \sigma^{2} \left(1 + \theta^{2}_{1} + \theta^{2}_{2}\right). \\ \\ h = 1 &\rightarrow \gamma(1) = \sigma^{2} \sum^{1}_{r=0} \theta_{r} \theta_{r + 1} = \sigma^{2} \left(\theta_{1} + \theta_{1} \theta_{2} \right) = \sigma^{2} \theta_{1} \left(1 + \theta_{2}\right). \\ \\ h = 2 &\rightarrow \gamma(2) = \sigma^{2} \sum^{0}_{r=0} \theta_{r} \theta_{r + 2} = \sigma^{2} \theta_{2}. \end{split} \] Therefore \(\rho(1) = \frac{\gamma(1)}{\gamma(0)} = \frac{\theta_{1} \left(1 + \theta_{2} \right)}{1+ \theta^{2}_{1} + \theta^{2}_{2}}\) and \(\rho(2) = \frac{\gamma(2)}{\gamma(0)} = \frac{\theta_{2}}{1+ \theta^{2}_{1} + \theta^{2}_{2}}\).

  • Proceed analogously for the MA(\(q\)) model.

Another method of obtaining the correlation coefficients of the MA(\(q\)) is to derive the covariance \(\gamma(h) = \mathrm{cov} (Y_{t}, Y_{t - h} )\) directly by using the bilinear properties of covariance and determining the interaction between the white noise terms. The advantage of this method is that we do not have to memorize anything. Moreover, since white noise has the property that \(\mathrm{cov} (\epsilon_{u}, \epsilon_{v}) = 0\) whenever \(u \neq v\), interactions occur only when the time indices match up, i.e., only when \(u = v\).

Example: ACVF and ACF of MA(1)

Consider an MA(1) model. Let \(h \geqslant 0\). Applying the covariance properties we obtain the general expression: \[ \begin{split} \gamma(h) & = \mathrm{cov}\left( Y_{t}, Y_{t - h} \right) \\ & = \mathrm{cov} \left( \epsilon_{t} + \theta_{1} \epsilon_{t - 1},\; \epsilon_{t - h} + \theta_{1} \epsilon_{t - h - 1} \right) \\ & = \mathrm{cov} \left( \epsilon_{t}, \epsilon_{t - h} \right) + \theta_{1} \mathrm{cov} \left( \epsilon_{t}, \epsilon_{t - h - 1} \right) + \theta_{1} \mathrm{cov} \left( \epsilon_{t - 1}, \epsilon_{t - h} \right) + \theta^{2}_{1} \mathrm{cov} \left(\epsilon_{t - 1}, \epsilon_{t - h - 1} \right). \end{split} \]

Note that the covariances in the last line of the above expression will be nonzero if the time indices match up. By plugging different values of \(h\) into the above equation, we obtain \[ \begin{align} h = 0 \rightarrow \gamma(0) &= \mathrm{cov} \left( \epsilon_{t}, \epsilon_{t} \right) + 0 + 0 + \theta^{2}_{1} \mathrm{cov} \left( \epsilon_{t - 1}, \epsilon_{t - 1} \right) \\ &= \sigma^{2} + \theta^{2}_{1} \sigma^{2} \\ &= \sigma^{2} \left( 1 + \theta^{2}_{1} \right). \\ \\ h = 1 \rightarrow \gamma(1) &= 0 + 0 + \theta_{1} \mathrm{cov} \left( \epsilon_{t - 1}, \epsilon_{t - 1} \right) + 0 \\ &= \sigma^{2} \theta_{1}.\\ \\ h \geqslant 2 \rightarrow \gamma(h) &= 0 + 0 + 0 + 0 \\ &= 0. \end{align} \]

This method generalizes easily to computing autocovariances for MA(\(q\)) models of higher orders.

Recall that ACF is the ACVF standardized by the variance (which is the ACVF at lag zero), hence the ACF \[ \begin{align} \rho(h) &= \frac{\gamma(h)}{\gamma(0)} \\ &= \begin{cases} 1 & \text{if } h = 0 \\ \frac{\theta_1}{1 + \theta^2_1} & \text{if } h = 1 \\ 0 & \text{if } h > 1 \end{cases} \end{align} \]

Note

We have explicitly determined the structure of the ACF of an MA(\(q\)) process. Its most important feature is that \(\rho(h) = 0\) for \(h > q\). Remember this about MA processes.

Finer features, such as expressing the \(\rho(h)\) in terms of the \(\theta_{r}\) coefficients, can be determined as above.

PACF of MA processes

For an MA(\(q\)), we can write \(Y_t = -\sum_{j=1}^{\infty} \pi_j Y_{t-j} + \epsilon_t\). Moreover, no finite representation exists. From this result, it should be apparent that the PACF will never cut off, as in the case of an AR(\(p\)). For an MA(1), \(Y_t = \epsilon_t +\theta \epsilon_{t-1}\), with \(|\theta| < 1\), it can be shown that (Shumway and Stoffer 2014): \[ \rho_{hh} = - \frac{(-\theta)^h (1 - \theta^2)}{1 - \theta^{2(h+1)}}, \; h \geqslant 1. \]

Note

Every MA(\(q\)) process has an infinite autoregressive expansion and its PACF never cuts off. In fact, it can be shown that the PACF of an MA(\(q\)) process damps out according to a mixed exponential decay of order \(q\).

We do not have to compute the PACF by performing numerous regressions first. The computations are done via a recursive formula.

Similar to AR(1) examples above, now consider two sets of plots for MA(1) processes with a positive and negative coefficient. For the MA(1) process \[ X_t = \theta_1 \epsilon_{t-1} + \epsilon_t, \tag{4.11}\] where \(\epsilon_t \sim N(0,\sigma^2)\), \(\theta_1=0.3\), and \(\sigma = 1\), see plots in Figure 4.6.

Code
# Theoretical ACF, PACF
theta <- 0.3
RHO <- c(1, theta/(1 + theta^2), rep(0, max(Lag) - 1))
ALPHA <- c(1, ARMAacf(ma = theta, lag.max = max(Lag), pacf = TRUE))

# Sample data
X <- arima.sim(list(order = c(0, 0, 1), ma = theta), n = T)

# Plots
p1 <- ggplot(data.frame(Lag, ACF = RHO), aes(x = Lag, y = ACF)) +
    geom_bar(stat = "identity") +
    ggtitle("Theoretical ACF")
p2 <- ggplot(data.frame(Lag, PACF = ALPHA), aes(x = Lag, y = PACF)) +
    geom_bar(stat = "identity") +
    ggtitle("Theoretical PACF")
p3 <- forecast::autoplot(X) + 
    ggtitle("Sample time series")
p4 <- forecast::ggAcf(X) + 
    ggtitle("Sample ACF")
p5 <- forecast::ggAcf(X, type = "partial") + 
    ggtitle("Sample PACF")
(plot_spacer() + p1 + p2) / (p3 + p4 + p5) +
    plot_annotation(tag_levels = 'A')
Figure 4.6: MA(1) as specified in Equation 4.11.

For the MA(1) process with negative \(\theta_1\), \[ X_t = \theta_1 \epsilon_{t-1} + \epsilon_t, \tag{4.12}\] where \(\epsilon_t \sim N(0,\sigma^2)\), \(\theta_1=-0.3\), and \(\sigma = 1\), see plots in Figure 4.7.

Code
# Theoretical ACF, PACF
theta <- -0.3
RHO <- c(1, theta/(1 + theta^2), rep(0, max(Lag) - 1))
ALPHA <- c(1, ARMAacf(ma = theta, lag.max = max(Lag), pacf = TRUE))

# Sample data
X <- arima.sim(list(order = c(0, 0, 1), ma = theta), n = T)

# Plots
p1 <- ggplot(data.frame(Lag, ACF = RHO), aes(x = Lag, y = ACF)) +
    geom_bar(stat = "identity") +
    ggtitle("Theoretical ACF")
p2 <- ggplot(data.frame(Lag, PACF = ALPHA), aes(x = Lag, y = PACF)) +
    geom_bar(stat = "identity") +
    ggtitle("Theoretical PACF")
p3 <- forecast::autoplot(X) + 
    ggtitle("Sample time series")
p4 <- forecast::ggAcf(X) + 
    ggtitle("Sample ACF")
p5 <- forecast::ggAcf(X, type = "partial") + 
    ggtitle("Sample PACF")
(plot_spacer() + p1 + p2) / (p3 + p4 + p5) +
    plot_annotation(tag_levels = 'A')
Figure 4.7: MA(1) as specified in Equation 4.12.

4.5 ARMA

An ARMA(\(p, q\)) is a mixture of \(p\) autoregressive components and \(q\) moving average components. It can be expressed as \[ \phi^{p} (B)Y_{t} = \theta^{q} (B) \epsilon_{t}, \tag{4.13}\] where \(\epsilon_t\) is the zero-mean white noise with variance \(\sigma^2\), \(\phi^{p}(\lambda)\) and \(\theta^{q}(\lambda)\) are the polynomials (without common roots) of degree \(p\) and \(q\), respectively.

The ARMA(\(p, q\)) Equation 4.13 can be expanded as follows: \[ X_t - \phi_1 X_{t-1} - \dots - \phi_p X_{t-p} = \epsilon_t + \theta_1 \epsilon_{t-1} + \dots + \theta_q \epsilon_{t-q}. \]

ARMA(1,2)

Short notation \(\phi^{1} (B)Y_{t} = \theta^{2} (B) \epsilon_{t}\) expands to \[ \left(1 - \phi_{1} B \right) Y_{t} = \left( 1 + \theta_{1} B + \theta_{2} B^{2} \right) \epsilon_{t} \] and gives \[ Y_{t} - \phi_{1} Y_{t - 1} = \epsilon_{t} + \theta_{1} \epsilon_{t - 1} + \theta_{2}\epsilon_{t - 2}. \]

Isolate \(Y_{t}\) on the left side of the equation to get the final form of the expansion \[ Y_{t} = \phi_{1} Y_{t -1} + \epsilon_{t} + \theta_{ 1} \epsilon_{t - 1} + \theta_{2} \epsilon_{t-2}. \]

ARMA(3,1)

Short notation \(\phi^{3} (B)Y_{t} = \theta^{1} (B) \epsilon_{t}\) expands to \[ \left( 1 - \phi_{1} B - \phi_{2} B^{2} - \phi_{3} B^{3} \right) Y_{t} = \left( 1 + \theta_{1} B \right) \epsilon_{t} \] or \[ Y_{t} - \phi_{1} Y_{t - 1} - \phi_{2} Y_{t - 2} - \phi_{3} Y_{t - 3} = \epsilon_{t} + \theta_{1} \epsilon_{t-1}. \]

Isolating \(Y_{t}\) gives the final form \[ Y_{t} = \phi_{1} Y_{t - 1} + \phi_{2} Y_{t - 2} + \phi_{3} Y_{t - 3} + \epsilon_{t} + \theta_{1} \epsilon_{t-1}. \]

In a mixed ARMA(\(p, q\)) process (that is, \(p > 0\), \(q > 0\)), neither the ACF nor the PACF cuts off abruptly. Both the ACF and PACF exhibit mixed exponential decay. This occurs because the AR component introduces mixed exponential decay into the ACF, while the MA component introduces mixed exponential decay into the PACF.

4.6 Summary of AR/MA/ARMA models

Use the following summary or Table 4.1 to decide on the appropriate model specifications.

AR(\(p\)) models: \(\phi^{p} (B)Y_{t} = \epsilon_{t}\)

  • ACF: \(p\) initial spikes, then damps out as a mixed exponential decay of order \(p\) (never 0)
  • PACF: \(p\) initial spikes, then cuts off; PACF(\(h\)) = 0 for \(h > p\)

MA(\(q\)) models: \(Y_{t} = \theta^{q} (B) \epsilon_{t}\)

  • ACF: \(q\) initial spikes, then cuts off; ACF(\(h\)) = 0 for \(h > q\)
  • PACF: \(q\) initial spikes, then damps out as a mixed exponential decay of order \(q\) (never 0)

ARMA(\(p,q\)) models (\(p>0\), \(q>0\)): \(\phi^{p} (B)Y_{t} = \theta^{q} (B) \epsilon_{t}\)

  • ACF: has max (\(p, q\)) initial spikes, then damps out as a mixed exponential decay driven by the AR(\(p\)) component (never 0)
  • PACF: has max(\(p, q\)) initial spikes, then damps out as a mixed exponential decay driven by the MA(\(q\)) component (never 0)
Table 4.1: Summary of ARMA(\(p, q\)) models
Model ACF PACF
MA(\(q\)) Zero after lag \(q\) Exponential decay
AR(\(p\)) Exponential decay Zero after lag \(p\)
ARMA(\(p\),\(q\)) Mixed exponential decay Mixed exponential decay

In practice, the final selection of ARMA’s orders \(p\) and \(q\) (i.e., model specification) is often based on

  • information criterion such as AIC or BIC or
  • forecast accuracy (e.g., PRMSE and PMAE of point forecasts for a testing set)

Use the examples in Section E.2 to practice the implementation of the rules in Table 4.1.

4.7 Example analysis

Suppose we are given a univariate time series \(Y_t\).

First, plot the data (Figure 4.8).

Code
ggplot2::autoplot(Y)
Figure 4.8: Plot of the time series \(Y_t\).

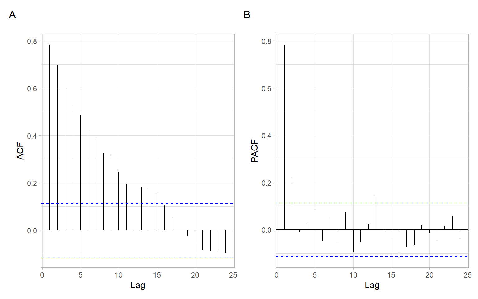
If no obvious trend, plot sample ACF and PACF (Figure 4.9).

Code
p1 <- forecast::ggAcf(Y) +
    ggtitle("")
p2 <- forecast::ggAcf(Y, type = "partial") +
    ggtitle("")
p1 + p2 +
    plot_annotation(tag_levels = 'A')
Figure 4.9: Estimated ACF and PACF of \(Y_t\).

Based on the plots (Figure 4.9), ACF decays faster than linearly (some indication of stationarity), and PACF is non-zero up to lag 2 (cuts off after lag 2). Knowing the expected behavior of ACF and PACF for ARMA models (see Table 4.1), AR(2) can be suggested in this case, which is equivalent to ARMA(2,0).

Given the potential sample variability affecting the estimates of ACF and PACF, there could be other model specifications close to the selected one that may perform similarly or even slightly better when compared to the one selected based on the visual analysis. For example, we can check other suitable combinations within the maximal lag of 2 we identified: ARMA(1,0), (2,0), (0,1), (1,1), (2,1), (0,2), (1,2), and ARMA(2,2). With so many choices, we need some quantitative criteria to select the best model.

The code below uses a ‘manual’ approach of calculating Akaike and Bayesian information criteria (AIC and BIC) to select the model from the specified set, but see the next section for R functions that do it more automatically.

# Combinations of p and q, without p = q = 0
results <- expand.grid(p = c(0, 1, 2), q = c(0, 1, 2))[-1, ] 
for (i in 1:nrow(results)) {
    mod <- arima(Y, order = c(results$p[i], 0, results$q[i]))
    results$aic[i] <- mod$aic
    results$bic[i] <- BIC(mod)
}
results
#>   p q aic bic
#> 2 1 0 851 862
#> 3 2 0 838 853
#> 4 0 1 987 998
#> 5 1 1 839 854
#> 6 2 1 840 859
#> 7 0 2 915 929
#> 8 1 2 841 859
#> 9 2 2 842 864

4.7.1 Automatic model selection

For example, the function stats::ar() by default uses the Yule–Walker method to estimate the coefficients and AIC to select the best order for AR(\(p\)) model, where the maximum of \(p\) can be set by the user.

ar(Y, order.max = 11)
#> 
#> Call:
#> ar(x = Y, order.max = 11)
#> 
#> Coefficients:
#>     1      2  
#> 0.612  0.220  
#> 
#> Order selected 2  sigma^2 estimated as  0.939

The function funtimes::ARest() is a wrapper for stats::ar(). It adds a difference-based estimator by Hall and Van Keilegom (2003), which is now used by default, and also switches between BIC or AIC as the model selection criterion. The selection is still done only for the order \(p\) in AR(\(p\)), without considering the possibility of MA terms.

funtimes::ARest(Y)
#> [1] 0.571 0.176

To check the correspondence with stats::ar(), change the method and fix the ar.order (turn off its automatic selection):

funtimes::ARest(Y, ar.method = "yw", ar.order = 2, ic = "none")
#> [1] 0.612 0.220
Note

BIC selects more parsimonious models than AIC does. Such simpler models are usually preferred for forecasting tasks.

The function fable::ARIMA() searches over possible ARMA models within some order constraints (the default maximal orders and search strategy are different from the two functions above – see help files for each function in R). This function is a successor of the function forecast::auto.arima() and is probably the most comprehensive R function for estimating and selecting ARMA models. It allows to fit and select not only ARMA(\(p,q\)) models, but also more complex models that will be described later in the course.

library(fable)
m <- as_tsibble(Y) %>% 
    model(ARIMA(Y ~ 1, ic = "bic"))
report(m)
#> Series: Y 
#> Model: ARIMA(2,0,0) w/ mean 
#> 
#> Coefficients:
#>          ar1     ar2  constant
#>       0.6100  0.2184    0.0466
#> s.e.  0.0562  0.0562    0.0545
#> 
#> sigma^2 estimated as 0.9383:  log likelihood=-415
#> AIC=838   AICc=838   BIC=853

In all considered cases the model ARMA(2,0), which is equivalent to AR(2), was selected. Our next step is the residual diagnostics – check the residuals for homoskedasticity, uncorrelatedness, and normality (Figure 4.10).

Code
feasts::gg_tsresiduals(m)
Figure 4.10: Residual diagnostics for the ARMA(2,0) model estimated using the package fable.

Based on the plots, the residuals do not violate the assumptions, so proceed with forecasting (Figure 4.11).

Code
m %>%
    fabletools::forecast(h = 10) %>%
    autoplot(Y)
Figure 4.11: Predictions 10 steps ahead from the ARMA(2,0) model estimated using the package fable.

However, the syntax and outputs of the package fable are quite different from typical R alternatives. See Figure 4.12 with results still plotted using the package ggplot2, but obtained using the base-R functions. Also, see the base-R function tsdiag() for residual diagnostics.

Code
m <- arima(Y, order = c(2, 0, 0))
e <- m$residuals
p1 <- ggplot2::autoplot(e) + 
    ylab("Residuals")
p2 <- forecast::ggAcf(e) +
    ggtitle("")
p3 <- ggpubr::ggqqplot(e) + 
    xlab("Standard normal quantiles")
p4 <- ggplot2::autoplot(forecast::forecast(m, h = 10))
p1 / (p2 + p3) / p4 +
    plot_annotation(tag_levels = 'A')
Figure 4.12: Residual diagnostics and predictions 10 steps ahead from the ARMA(2,0) model estimated using the base-R function stats::arima().

Using the estimated residuals, \(\hat{\epsilon}_t = Y_t - \hat{Y}_t\), we can get the ‘fitted’ values, \(\hat{Y}_t\) (technically, these are one-step-ahead predictions), see Figure 4.13.

Code
Fit <- Y - e
ggplot2::autoplot(Y) + 
    autolayer(Fit) +
    ylab("Y")
Figure 4.13: Oberved time series (black) and one-step-ahead predictions (red) from the ARMA(2,0) model.

4.8 Conclusion

We defined AR, MA, and ARMA models and showed that time series processes corresponding to such models satisfy the conditions of weak stationarity.

Using ACF and PACF plots, we can select the orders \(p\) and \(q\) to specify an ARMA model, but we also can use a variety of functions running different evaluations and tests for competitive models.

We face the choice of different methods to estimate (i.e., estimators) and methods to compare models.

The most often used estimators for ARMA models are

  • maximum likelihood,
  • Yule–Walker, and
  • Burg.

The OLS-based estimator is used less frequently.

Methods to compare competing models may involve

  • log-likelihood, MAE, RMSE, and information criteria to assess in-sample (training) goodness-of-fit;
  • diagnostics checks of residuals (discard models if their residuals do not pass the tests);
  • comparisons of models on a testing set (PMAE, PRMSE, coverage, and width of prediction intervals).

For each of these options, there are multiple R functions available, or can be written from scratch.